Laporan Hasil Observasi Yang Benar


Laporan hasil observasi yang benar ijin, laporan hasil observasi yang benar nopember, laporan hasil observasi yang benar praktik, laporan hasil observasi yang benar rabbani, laporan hasil observasi yang benar propinsi, laporan hasil observasi yang benar bertekad, laporan hasil observasi yang benar jamiyah, laporan hasil observasi yang benar yogyakarta, contoh laporan hasil observasi yang singkat, contoh laporan hasil observasi, contoh teks laporan hasil observasi, teks laporan hasil observasi, pengertian laporan hasil observasi, pengertian teks laporan hasil observasi, laporan hasil observasi tentang tumbuhan, cara membuat laporan hasil observasi, laporan hasil observasi, struktur teks laporan hasil observasi, laporan hasil wawancara, laporan hasil pengamatan,


Laporan Pkp Ut via www.slideshare.net
Laporan pkp ut

Contoh Daftar Isi Hasil Observasi - Ndang Kerjo via ndangkerjo.blogspot.com
Contoh Daftar Isi Hasil Observasi - Ndang Kerjo

Contoh Kata Pengantar Observasi - Contoh Raffa via contohraffa.blogspot.com
Contoh Kata Pengantar Observasi - Contoh Raffa

10 Bahasa Indonesia Buku_guru (1) via www.slideshare.net
10 bahasa indonesia buku_guru (1)

Laporan Hasil Observasi Fauna - How To Aa via howtoaa.blogspot.com
Laporan Hasil Observasi Fauna - How To AA

Kurikulum 2013 Buku Guru 7 Bahasa Indonesia via www.slideshare.net
KURIKULUM 2013  BUKU GURU 7 BAHASA INDONESIA

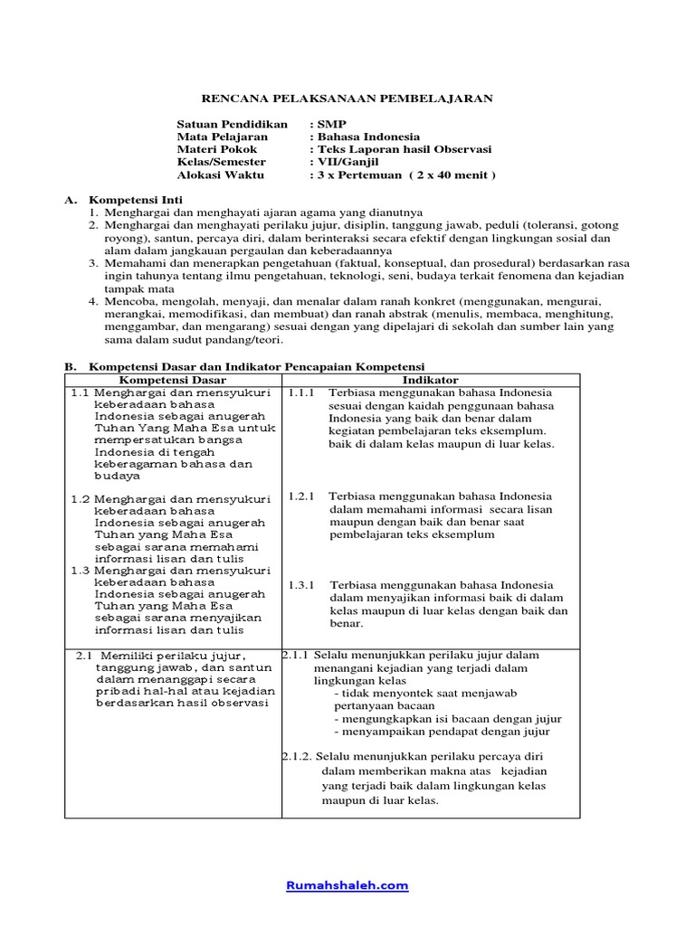
Contoh Rpp Teks Laporan Hasil Observasi Smp Kelas Vii via www.scribd.com
Contoh RPP Teks Laporan Hasil Observasi SMP Kelas VII

Contoh Laporan Hasil Observasi Yang Baik Dan Benar - Contoh M via contohm.blogspot.com
Contoh Laporan Hasil Observasi Yang Baik Dan Benar - Contoh M

Contoh Laporan Penelitian Tentang.contoh Cover Makalah via cotographix.com
Contoh Laporan Penelitian Tentang.Contoh Cover Makalah

Contoh Hasil Observasi Pendidikan - Kontrak Kerja via kontrakkerja.blogspot.com
Contoh Hasil Observasi Pendidikan - Kontrak Kerja

1000+ Ideas About Pt Pln Persero On Pinterest Pln via www.pinterest.com
1000+ ideas about Pt Pln Persero on Pinterest  Pln

Laporan Hasil Observasi Yang Baik Dan Benar - Contoh Agus via contohagus.blogspot.com
Laporan Hasil Observasi Yang Baik Dan Benar - Contoh Agus

Contoh Daftar Pustaka Hasil Observasi - Id Jobs Db via id-jobsdb-com.blogspot.com
Contoh Daftar Pustaka Hasil Observasi - ID Jobs DB

Laporan Hasil Observasi Yang Baik Dan Benar - Viral News Top via viralnewstop.blogspot.com
Laporan Hasil Observasi Yang Baik Dan Benar - Viral News Top

Teks Laporan Hasil Observasi via www.slideshare.net
Teks laporan hasil observasi

Contoh Laporan Penelitian Pertumbuhan Kacang Hijau.contoh via cotographix.com
Contoh Laporan Penelitian Pertumbuhan Kacang Hijau.Contoh

Contoh Laporan Hasil Observasi Yang Sederhana - Laporan 7 via laporan7.blogspot.com
Contoh Laporan Hasil Observasi Yang Sederhana - Laporan 7

Contoh Laporan Penelitian Akuntansi Sektor Publik.contoh via cotographix.com
Contoh Laporan Penelitian Akuntansi Sektor Publik.Contoh

Contoh Hasil Observasi Yang Baik Dan Benar - Mosik Express via mosikexpress.blogspot.com
Contoh Hasil Observasi Yang Baik Dan Benar - Mosik Express

Contoh Hasil Observasi Yang Benar - Moco Wo via mocowo.blogspot.com
Contoh Hasil Observasi Yang Benar - Moco Wo

Contoh Laporan Penelitian Tentang.contoh Cover Makalah via cotographix.com
Contoh Laporan Penelitian Tentang.Contoh Cover Makalah

Contoh Surat Keterangan Hasil Observasi - Laporan Hasil via www.webmunster.com
Contoh Surat Keterangan Hasil Observasi - Laporan Hasil

Contoh Laporan Penelitian Tentang.contoh Cover Makalah via cotographix.com
Contoh Laporan Penelitian Tentang.Contoh Cover Makalah

Laporan Hasil Observasi Yang Singkat - Contoh 84 via contoh84.blogspot.com
Laporan Hasil Observasi Yang Singkat - Contoh 84

Contoh Makalah Laporan Observasi - Contoh 84 via contoh84.blogspot.com
Contoh Makalah Laporan Observasi - Contoh 84


Random Image


http://minecraftsgamesplay.com/profile/3067618/grovereggle

Search This Blog